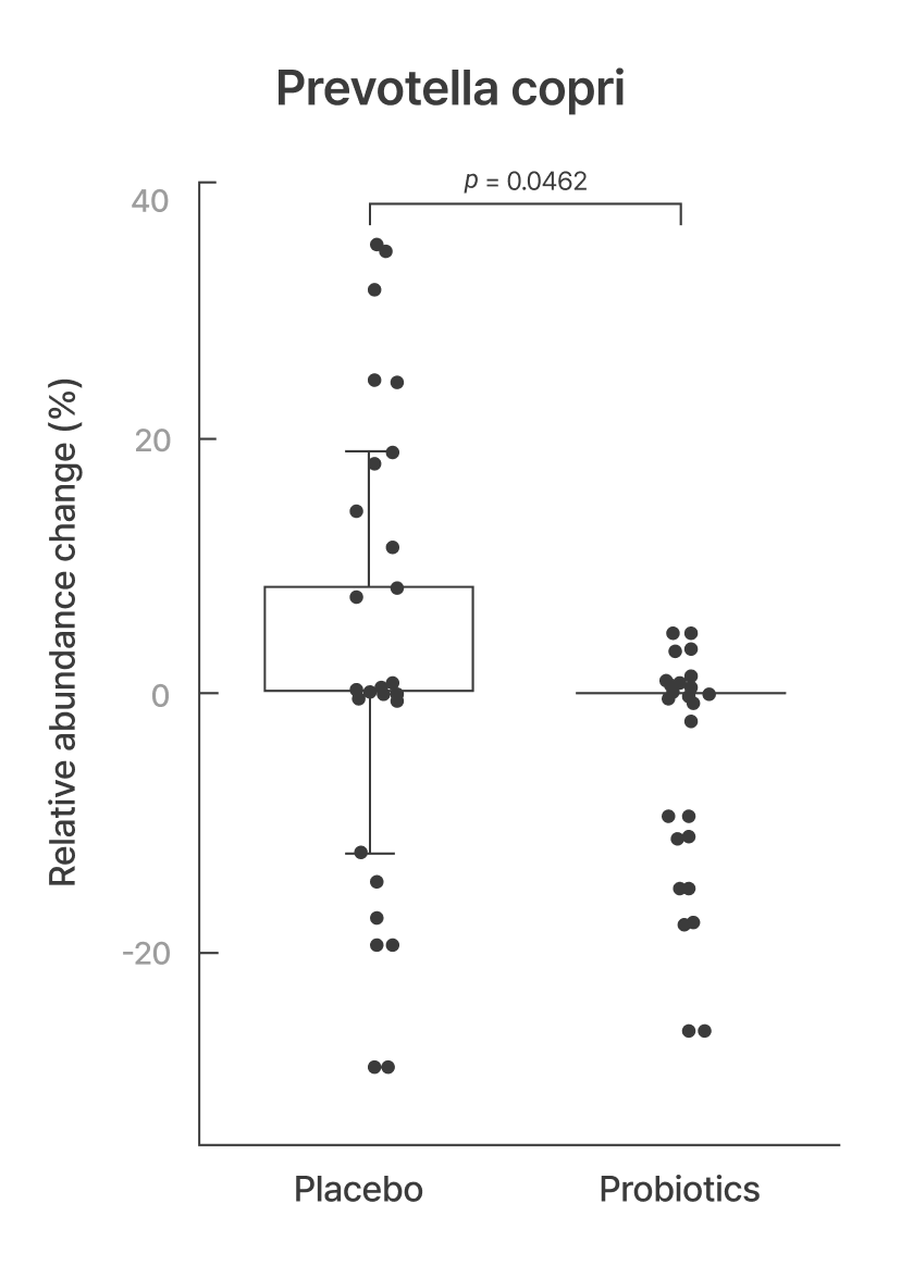
A probiotic blend of
L. curvatus HY7601 and L. plantarum KY1032
Pioneering a sustainable future through continuous innovation from functional probiotics to natural solutions and pet care.
Pioneering a sustainable future through continuous innovation from
functional probiotics to natural solutions and pet care.
Pioneering a sustainable future through continuous innovation from functional probiotics to natural solutions and pet care.

With the distinct value of microbiome-based functional probiotics, we are setting new standards both in Korea and across the world.
With the distinct value of microbiome-based functional probiotics, we are setting new standards both in Korea and across the world.
HY7601+KY1032












